SCERT Assam Class 6 Mathematics Chapter 11 – “Decimal Fractions” Summary & Solutions
SCERT Assam Class 6 Mathematics (English Medium) Chapter 11 – “Decimal Fractions” solutions are available at Ospin Academy. We provide SCERT-based textbook solutions, multiple-choice questions (MCQs), and a complete chapter summary to help students in their exam preparation.
📖 Chapter Overview:
This chapter introduces **decimal fractions**, their properties, and how to perform mathematical operations using them.
- Understanding Decimal Fractions: Definition and place value system.
- Operations on Decimals: Addition, subtraction, multiplication, and division.
- Applications of Decimals: Money, measurement, and real-life usage.
📌 Exercises Covered in Lesson 11:
- Exercise 11A: Understanding decimal place values.
- Exercise 11B: Addition and subtraction of decimal fractions.
- Exercise 11C: Multiplication and division of decimal fractions.
- Exercise 11D: Word problems involving decimal fractions.
📝 Ospin Academy Resources:
- Complete Solutions: SCERT Assam Class 6 Mathematics Chapter 11 answers.
- MCQs & Additional Questions: Exam-focused multiple-choice questions.
- Clear Explanations: Concepts explained in simple terms.
- Quick Revision Notes: Concise notes for last-minute preparation.
For SCERT Assam Class 6 Mathematics (English Medium) Chapter 11 – “Decimal Fractions” solutions, visit Ospin Academy.
Class 6 Maths (English Medium) PDF Solutions 2025-26 | SCERT Assam
Download SCERT Assam Class 6 Mathematics PDF with chapter-wise solutions, MCQs, and notes. Get SEBA Assam Class 6 Maths study material for easy exam preparation!
Out of stock
Class 6 Mathematics
Chapter – 11 Ospin Academy
Decimal Fractions
|
Exercise – 11 (A) |
|---|
1. Write as decimals-
(i) 25 thousandths.
Ans: 25 thousandths
= 25/1000
= 0.025
(ii) 13 ten thousandths.
Ans: 13 ten thousandths
= 13/10000
= 0.0013
(iii) 3059 ten thousandths.
Ans: 3059 ten thousandths
= 3059/10000
= 0.3059
2. Express using decimal point-
(i) 6/1000
Ans: 6/1000 = 0.006
(ii) 25/1000
Ans: 25/1000 = 0.025
(iii) 3/100
Ans: 3/100 = 0.03
(iv) 105/10000
Ans: 105/10000 = 0.03 = 0.0105
3. Express 4631.219 in expanded from-
Ans: The expanded form of 4631.219 is:
4000 + 600 + 30 + 1 + 0.2 + 00.1 + 0.009
Place value: (4 × 1000) + (6 × 100) + (3 × 10) + (1 × 1) + (2 × 0.1) + (1 × 0.01) + ( 9 × 0.001)
4. Find the place value of the following expanded decimal numbers and write in expanded from.
(i) 543.28
Ans: Place value of 5 = 5 hundreds = 5 × 100 = 500
Place value of 4 = 4 tens = 4 × 10 = 40
Place value of 3 = 3 ones = 3 × 1 = 3
Place value of 2 = 2 tenths = 2/10 = 0.2
Place value of 8 = 8 hundredths = 8/100 = 0.8
∴ Expanded form of 543.28 = 500 + 40 + 3 + 0.2 + 0.8
(ii) 4275.198
Ans: Place value of 4 = 4 thousands = 4 × 1000 = 4000
Place value of 2 = 2 hundreds = 2 × 100 = 200
Place value of 7 = 7 tens = 7 × 10 = 70
Place value of 5 = 5 ones = 5 × 1 = 5
Place value of l = 1 tenths = 1/10 = 0.1
Place value of 9 = 9 hundredths = 9/100 = 0.09
Place value of 8 = 8 thousandths = 8/1000 = 0.008
∴ The expanded form of 4275.198 = 4000 + 200 + 70 + 5 + 0.1 + 0.9 + 0.008
|
Exercise – 11 (B) |
|---|
1. Express the following decimal numbers as ordinary fractions.
(a) 4.3
Ans: 4.3

(b) 0.01
Ans: 0.01
= 1/100
(c) 1.1
Ans: 1.1

(d) 60.01
Ans: 60.01

(e) 4.0108
Ans: 4.0108

2. Express the following in decimal-
(a) Nine tenth.
Ans: Nine tenth
= 9/10
= 0.9
(b) Five tens and seven tenths.
Ans: Five tens and seven tenths
= 50 + 7/10
= 50.7
(c) Eight tens, three ones and four tenths.
Ans: Eight tens, three ones and four tenths
= 80 + 3 + 4/10
= 83.4
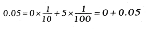
(d) Five hundredths.
Ans: Five hundredths
= 5/100
= 0.05
3. Write the following in numbers.
(a) zero decimal point one two five.
Ans: Zero decimal point one two five.
= 0.125
(b) Five decimal point four.
Ans: Five decimal point four.
= 5.4
(c) Seven decimal point zero three.
Ans: Seven decimal point zero three.
= 7.03
(d) Twenty three decimal point three five.
Ans: Twenty three decimal point three five.
= 23.35
4. Write the following decimals in words.
(a) 1.05
Ans: 1.05 = one decimal point zero five.
(b) 0.003
Ans: 0.003 = zero decimal point zero zero three.
(c) 2175.439
Ans: Two thousand one hundred seventy five decimal point four three nine.
5. Write the decimal numbers in the place value table.
(a) 0.71
Ans: 0.71
|
Number |
Ones |
Decimal point |
Tenths (1/10) |
Hund. (1/100) |
|---|---|---|---|---|
|
0.71 |
0 |
. |
7 |
1 |
(b) 12.03
Ans: 12.03
|
Number |
Tens |
Ones |
Decimal point |
Tenths (1/10) |
Hund. (1/100) |
|---|---|---|---|---|---|
|
12.03 |
1 |
2 |
. |
0 |
3 |
(c) 0.0101
Ans: 0.0101
|
Number |
Ones |
Decimal point |
Tenths (1/10 |
Hund. (1/100) |
Thous. (1/1000) |
Ten thous. (1/10000) |
|---|---|---|---|---|---|---|
|
0.0101 |
0 |
. |
0 |
1 |
0 |
1 |
6. Write the following in expanded from-
(a) 0.05
Ans:

(b) 31.79
Ans:

(c) 144.695
Ans:

7. Express the following in decimals.
(a) 3/10
Ans: 3/10
= 0.3
(b) 3/100
Ans: 3/100
= 0.03

Ans: = 4 + 0.9
= 4.9
![]()
Ans: = 653 + 0.2 + 0.03
= 653.23
8. Express the following in decimal-
(a) 1/2
Ans:

(b) 3/4
Ans:

(c) 3/50
Ans:

(d) 7/40
Ans:


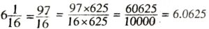
9. Express the following ordinary fractions in decimals-

Ans:

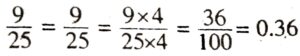
(b) 9/25
Ans:


Ans:


Ans:
![]()
10. Express the following in the lowest from-
(a) 0.8
Ans: 0.8

(b) 1.5
Ans: 1.5

(c) 31.25
Ans: 31.25

(d) 6.001
Ans: 6.001
= 60001/1000
11. Fill in the blanks (use decimal point)
(a) 45 mm = _____________ cm
Ans: 4.5 cm
(b) 1 mm = ______________ m
Ans: 0.01 m
(e) 500 cm = _____________ m
Ans: 5 m
12. Between which two whole numbers on the number line do the following numbers lie and which of these whole numbers in nearer to the number?
(a) 6.9
Ans: → 6.9 is lies between 6 and 7 on the number line but is nearer the number 7.
(b) 25.07
Ans: → 25.07 is lies between 25 and 26 on the number line but is nearer the number 25.
13. Show on the number line-
(a) 0.6
Ans: 0.6

(b) 5.9
Ans: 5.9

|
Exercise – 11 (C) |
|---|
1. For each pair of numbers which is the larger number-
(i) 0.849,0.819
Ans: 0.849 > 0.819
(ii) 3.614, 3.616
Ans: 3.614 < 3.616
(iii) 120.5, 120.05
Ans: 120.5 > 120.05
2. Write true or false of the following.
(i) 42.5 = 42.50
Ans: True.
(ii) 361.05 < 361.005
Ans: False.
(iii) 2.43 < 24.3
Ans: True.
3. Arrange in ascending order–
(i) 15.73, 157.3, 1.573, 1573
Ans: 1.573 < 15.73 < 157.3 < 1573
(ii) 0.005, 0.05, 0.0005, 0.5
Ans: 0.0005 < 0.005 < 0.05 < 0.5
4. Arrange the following in descending order –
(a) 67.54, 67.45, 76.54, 67.054, 67.55
Ans: 76.54 > 67.55 > 67.54 > 67.45 > 67.054
(b) 143.63, 243.63, 234.36, 134.41, 143.633
Ans: 243.63 > 234.36 > 143.633 > 143.63 >134.41
5. Using decimal point express the following-
(a) As rupees:
(i) 15 paise.
Ans: 15 paise = 15/100 = Rupees 0.15 Rupees.
(ii) 70 paise.
Ans: 70 paise = 70/100 Rupees 0.70 Rupees.
(iii) 675 paise.
Ans: 675 paise = 6 Rupees + 75 paise.
= 6 Rupees + 75/100 = 6.75 Rupees.
(b) As meter:
(i) 35 cm
Ans: 35 cm = 35/100 = 0.35 m
(ii) 7 m 70 cm
Ans: 7 m 70 cm = 7 + 70 cm
= 7m + 70/100m = 7m + 0.7m = 7.7m
(iii) 305 cm
Ans: 305 cm = 3.05 m
(c) As kilometer:
(i) 5 m
Ans: 5 m = 5/1000 k.m = 0.005 k.m.
(ii) 500 m
Ans: 500 m = 500/1000 k.m = 0.500 k.m
(iii) 7005 m
Ans: 7005 m = 7005/1000 k.m = 7.005 k.m
(d) As kilogram
(i) 15 gram
Ans: 15 gram = 15/1000 k.g = 0.015 k.g
(ii) 550 gram
Ans: 550 gram = 550/1000 k.g = 0.550 k.g
(iii) 5725 gram
Ans: 5725 gram = 5725/1000 k.g = 5.725 k.g
6. Put a tick (√) in correct answers and (×) in wrong answers. Correct the wrong statements.
(i) 1 mm = 0.1 cm
Ans: √
(ii) 800 m = 0.8 km
Ans: √
(iii) 2785 cm = 27.85 m
Ans: √
(iv) 1 milligram = 1/1000 gram = 0.001 gram
Ans: √
(v) 1 ml = 0.001 litre
Ans: √
|
Exercise 11 (D) |
|---|
1. Find the sum-
(a) 0.506 + 0.03 + 3.14 + 56.198
Ans: 0.506 + 0.03 + 3.14 + 56.198 = 59.874
(b) 37.31 + 405.85 + 10.0015 + 9.9
Ans: 37.31 + 405.85 + 10.0015 + 9.9 = 463.0615
2. (a) Arrange the following numbers in ascending order and find the sum-
94.5, 69.59, 427.001, 3.42, 0.05
Ans: 0.05 < 3.42 < 69.59 < 94.5 < 427.001
Sum = 594.561
(b) Arrange the following numbers in descending order and find the sum-
146.23, 50.64, 426.53, 6.09, 78.35
Ans: 426.53 > 146.23 > 78.35 > 50.64 > 6.09
Sum = 707.84
3. Subtract the following-
(a) 89.005 from 370.69
Ans:

(b) 0.008 from 6.01
Ans:

4. The three friends Meera, Anima and Rahima checked their weight in a weighing machine. They weighed 36.145kg, 35.916 kg and 38.016 kg respectively. What is their total weight?
Ans: Weight of Merra = 36.145 kg
Weight of Anima = 35.916 kg
and Weight of Rahima = 38.016 kg
∴ Total Weight = 110.077 kg
∴ Their total Weight = 110.077 kg.
5. Pratap bought four books from the book fair. The price of the books were ₹175.25 and ₹205.50, ₹400 and ₹213.60 respectively. How much money Pratap spent for the books?
Ans: The price of the books were Rs. 175.25, Rs 205.50 Rs 400 and Rs 213.60
∴ The price of four books =

∴ pratap spent for the books = Rs. 994.35
6. Mojammil went on an outing with his parents during his holidays. They went 4.575km by rickshaw, 425.5 km by rail and 25.425 km by bus. What is the total distance they travelled?
Ans: They went 4.575 km by rickshaw, 425.5 km by rail and 25.425 km by bus,
∴ The total distance = 4.575 km + 425.500 km + 25.425 km = 45.500 km
∴ The total distance they travelled = 455.5 km.
7. A milkman had 17 litre 790 mililitre of milk in his milk can. He sold 2.750 litre of milk to one person and 5 litre 375 mililitre milk to another person. How much milk is left in the milk can?
Ans: A milkman had 17 litre 790 millilitre of milk in his can.
He sold 2.750 litre + 5.375 millilitre of milk
2.750 litre + 5.375 litre + 8.125 litre
∴ Milk is left in the milk can = 17.790 litre
-8.125 litre

∴ 9.665 litre of milk is left in the milk can.
8. The difference of two numbers is 213.79. If the larger of the two numbers is 749.53, what is the smaller number?
Ans: The difference of two numbers = 213.79
The larger number = 749.53
∴ The smaller number = 749.53 – 213.79 = 535.74
∴ The smaller number = 535.74
9. Simplify:
(a) 401.55 – 31.21 – 47 . 6 – 135 . 73
Ans: 370.34 -183.33
= 187.01
(b) 19.6 + 71.43 + 66.76 – 92.3
Ans: 19.6 + 71.43 + 66.76 – 92.3
= 157.79 – 92.3 = 65.49
SCERT Assam Class 6 Mathematics Chapter 11 – Decimal Fractions FAQs
Get Free NCERT PDFs
If you want to download free PDFs of any chapter, click the link below and join our WhatsApp group:

